法政大学生命科学部 環境応用化学科の小鍋哲教授は、真空中の薄膜熱放射体において、熱放射を“強い一方通行”かつ“広い波長域”で同時に実現することには、材料固有の上限があることを理論的に明らかにしました。この上限は、電子状態から定義される指標「量子重み(Quantum Weight)」によって決定づけられ、非相反熱放射デバイスの材料選択と設計に新たな指針を与えるものです。
物体が温度に応じて放つ熱(熱放射)は、通常、同じ波長・方向において「吸収しやすいほど放射しやすい」という関係(キルヒホッフの法則)に従います。ところが、磁場などによって時間反転対称性が破れた材料では、ある方向には強く、逆方向には弱い“非相反”な熱放射が生じることがあります。小鍋教授は今回、この一方通行の強さと帯域の限界を数理的に特定しました。本成果は、2026年2月13日(金)に米国光学会が発行する国際学術誌『Optica』に掲載されました。
■発表のポイント
(1)薄膜熱放射体における「非相反性(放射と吸収の差)」の大きさと、それを維持できる「周波数帯域幅」に、材料固有の上限があることを理論的に示しました。
(2)材料固有の性質である量子重みが、非相反熱放射の達成可能性(強さ×帯域)を決める鍵であることを示しました。
(3)原子層薄膜やトポロジカル絶縁体などの材料評価により、応用(熱光起電力:TPV等)に向けた材料スクリーニングの考え方を提示しました。
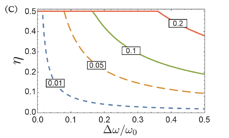
図:キルヒホッフの法則が成り立つ通常の熱放射(A)と成り立たない非相反熱放射(B)。(C)は量子重みが定める非相反性の「強さ」と「帯域幅」の限界を表すグラフ。縦軸は「熱放射がどれだけ一方通行できるか」を、横軸はその性能が維持される「波長の幅広さ」を表している。各曲線は、材料固有の指標である量子重みごとに計算された理論上の限界線である。各曲線より上の領域は、その材料において物理的に到達することが不可能な領域(禁止領域)であることを示している。
■背景
物体は温度に応じて、目に見えない赤外線としてエネルギーを放出します。これを「熱放射」と言います。通常の材料では、熱平衡下において「光を吸収しやすいほど、熱放射もしやすい」という性質(キルヒホッフの法則)があります(図A)。このため、太陽電池のようなエネルギー変換デバイスにおいて、「必要なエネルギーは取り込みたいが、不要な熱放射は抑えたい」という要求があっても、両者を独立に最適化することは原理的に困難でした。この制約を打ち破り、熱放射を一方通行に制御する「非相反熱放射」(図B)の実現は、長らく工学分野で切望されてきました。これまで磁性体やトポロジカル材料などを用いた研究が進められてきましたが、「どの材料で、どれほどの一方通行性を、どの程度の波長域で実現できるのか」という根本的な限界は明確になっていませんでした。
■研究内容・成果
本研究では、以下の物理原理を数学的に統合することで、これまで未解明だった熱放射の物理的制約を一つの不等式として定式化し、薄膜放射体の性能を制約する理論的上限の存在を明らかにしました。
・ 非相反熱放射の原理:熱放射の一方通行性に関する基礎理論
・ 電磁気学的な吸収の上限:受動的な物質には光や熱の吸収限界があることを示す原理
・ 量子幾何的な光学和則:物質が光を吸収する能力が量子重みによって制約されることを示す関係式
その結果、薄膜の「熱の一方通行の強さ(非相反性)」と「それが維持される帯域幅」のトレードオフが、材料固有の量子重みによって本質的に制約されることを示しました(図C)。これは、構造設計の前段階で、材料の性質から到達可能な性能の限界を見積もるための指針となります。
また、具体的なケーススタディとして、新規材料として応用が期待される半導体原子層薄膜とトポロジカル絶縁体薄膜を比較しました。
・原子層薄膜(励起子系): 非常に大きな量子重みを持ち、広い波長範囲で強い非相反性を実現し得る可能性を持つ材料であることを示しました。
・トポロジカル絶縁体薄膜: 非相反性物質として注目されている一方で、有効な波長帯域が数%~十数%程度に制限される可能性があることを示し、設計上の制約を明らかにしました。
■今後の展望
非相反性の上限を決める量子重みは、材料に内在する電子状態に由来する性質であるため、本成果は非相反熱放射デバイスを材料選択の段階から合理的に進めるための指標となります。今後、量子重みの大きい材料・電子状態の探索や、薄膜・メタサーフェス設計との統合を進めることで、熱放射を能動的に制御する熱光学デバイス(熱整流・熱スイッチ、熱光起電力(TPV)用の選択放射体など)への展開が見込まれます。これらのデバイスの高度化を通じて、最終的には太陽電池などのエネルギー変換デバイスの飛躍的な効率向上につながることが期待されます。
■用語解説
・非相反性(nonreciprocity):向きを入れ替えると同じ関係にならない性質。非相反熱放射は、ある方向への放射率と逆方向への放射率が一致しないこと。
・キルヒホッフの法則:熱平衡にある相反系では、同じ波長・方向・偏光において放射率と吸収率が等しいという関係。非相反系では、キルヒホッフの法則が成り立たない。
・量子重み(quantum weight):量子状態どうしの“距離”を表す幾何学的な量である量子計量を、量子状態全体にわたって足し合わせた量。
■論文情報
・雑誌名: Optica
・論文名: Quantum Geometric Limit for Hemispherically Averaged Nonreciprocity in Thin-Film Thermal Emitters
・著者: Satoru Konabe(小鍋 哲)
・DOI:10.1364/OPTICA.586100
・URL:https://opg.optica.org/optica/fulltext.cfm?uri=optica-13-2-336
■発表者
小鍋 哲 教授(法政大学生命科学部 環境応用化学科)
■研究助成
本研究は、日本学術振興会科学研究費助成事業(24H00044、25H00417)の支援により実施されました。
▼本件に関するお問い合わせ先
【研究内容に関するお問い合わせ先】
生命科学部 教授 小鍋 哲
TEL:042-387-6351
E-mail:konabe@hosei.ac.jp
【取材に関するお問い合わせ先】
法政大学 総長室広報課
TEL:03-3264-9240
E-mail:pr@adm.hosei.ac.jp
【リリース発信元】 大学プレスセンター https://www.u-presscenter.jp/









