戦前日本の帝国議会分析で解明
経済制裁で進む民主主義の後退 ―戦前日本の帝国議会分析で解明―
早稲田大学ウェブサイトもあわせてご参照ください。
【表:https://kyodonewsprwire.jp/prwfile/release/M102172/202604107258/_prw_PT1fl_kex555Gf.png】
民主主義はどのようにして内側から崩れていくのでしょうか。
早稲田大学政治経済学術院の福元 真(ふくもと まこと)准教授は、戦前日本(1936~1942年)の独自にデジタル化した帝国議会データ(議員提出法案・建議・動議・質問・議事録)、帝国議会議員データ(人事興信録・衆議院要覧)、株価指数データ(東洋経済・株式要覧)、軍需工場データ(陸軍指定工場作業場名簿・業種別海軍管理工場名簿)を用いて、経済的な弱体化が政治行動に与える影響を分析しました。本研究は、特にアメリカによる経済制裁と軍需調達に注目しました。
分析の結果、経済制裁によって打撃を受けた産業に関係する議員ほど、軍部に近づき、権威主義的な体制に取り込まれる傾向が明らかになりました。一方で、軍需調達によって経済的に安定した議員は、従属的ではなく、軍部の意向に反する投票行動が戦時中も見られました。
これらの結果は、民主主義の後退が一様に進むのではなく、経済的に弱体化した議会・文民・産業界のエリートが選択的に取り込まれることによって進行することを示しています。
本研究は2026年3月3日(日本時間)に「American Political Science Review」に掲載されました。
【画像:https://kyodonewsprwire.jp/img/202604107258-O2-R4Y0N327】
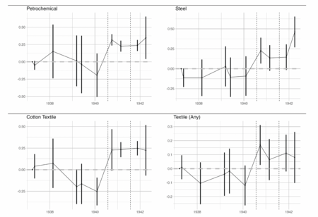
(図1)帝国議会議員の親軍的態度の統計分析(経済制裁前後) 翻訳: 左上:石油化学 右上:鉄鋼 左下:木綿 右下:繊維
分析では、差分の差分法など統計的な手法を用いて、政策の前後で変化があったかを比較しました。また、当時の文献資料も参照しながら結果を確認しています。具体的には、企業の役員を兼ねていた議員(議会の過半数)に注目し、その議員がどの産業と関わっていたかをもとに、軍部と議会・民主主義勢力が対立した場面での投票行動を調べました。そして、経済制裁や軍需拡大の前後で、政治的態度がどのように変化したかを分析しました。
その結果、経済制裁によって大きな打撃を受けた産業(石油化学、鉄鋼、繊維など)に関係する議員ほど、制裁の時期を境に軍部寄りの立場へと変化していくことが確認されました(図1)。どの産業が影響を受けたかについては、株価の動きも参考にして判断しています。
(1)これまでの研究で分かっていたこと
これまでの研究では、民主主義国家が権威主義国家に対して行う、禁輸や貿易の制限、資産の凍結といった経済制裁は政府に圧力を与え、民主化を促すと考えられてきました。企業や政治家は経済的損失を避けるために政策変更を求めるとされてきました。また、権威主義体制は、経済的利益を与えることでエリート層の支持を得ると理解されてきました。
しかし、経済制裁などによって経済的に弱くなったエリートがどのような行動を取るのかについては、十分に解明されていませんでした。
(2)今回の研究で新たに実現しようとしたこと、明らかになったこと、そのために新しく開発した手法
本研究では、1936年から1942年の日本の国会議員1,000人以上の独自にデジタル化した帝国議会データ(議員提出法案・建議・動議・質問・議事録)、帝国議会議員データ(人事興信録・衆議院要覧)、株価指数データ(東洋経済・株式要覧)、軍需工場データ(陸軍指定工場作業場名簿・業種別海軍管理工場名簿)を収集し、議員と企業との関係や投票行動を詳細に分析しました。当時の国会議員の多くは、企業役員を兼ねるなど経済界や利益団体と密接に関わっており、経済界・文民エリートの代表的な存在でもありました。
特に、次の二つの出来事に注目しました。
① アメリカによる経済制裁(1940~41年)
② 軍需調達の拡大(1939−42年)
これらの出来事は、産業ごとに異なる影響を与えました。繊維や石油などの輸出産業は大きな打撃を受けた一方で、自動車などは軍需によって利益を得ました。
差の差分析などの統計手法を用いて分析した結果、経済制裁のマイナスの影響を受けた産業に関係する議員は、その後、軍部を支持する行動を取る確率が大きく上昇することが明らかになりました。この変化は制裁後に突然現れ、それ以前には確認されませんでした。
さらに、制裁を受けた議員は、選挙資金を政府系組織から得るようになり、政治的に依存する傾向も確認されました。
一方で、軍需で利益を得た議員には、同様の変化は見られませんでした。むしろ一部の議員では、体制から距離を取る傾向も確認されました。
これらの結果は、「利益を得る者が体制を支持する」という従来の理解とは異なり、「弱い立場の者ほど体制に従う」という新しい視点を示しています。
本研究の重要な発見は、民主主義の後退が一律に進むのではなく、当時の国会議員を含む経済界・文民エリートの中で、「誰が弱い立場にあるか」によって進行が異なる点にあります。経済的に打撃を受けた議員(すなわち、経済的に弱体化したエリート)は、政治的な交渉力を失い、体制に依存せざるを得なくなります。その結果、体制に協力するようになります。一方で、資源や影響力を維持しているエリートは、体制に従う必要がなく、独立した立場を保つことが可能です。このように、権力側はすべての反対勢力を抑圧するのではなく、弱いエリートのみを選択的に取り込むことで、効率的に民主主義を弱めていくことが示されました。
(3)研究の波及効果や社会的影響
本研究は、経済制裁の効果に関する従来の見方を見直す必要性を示しています。
一般に、経済制裁は民主主義を守る手段と考えられていますが、実際には国内の弱い企業や政治家を追い詰め、権威主義体制を強化する可能性があります。この知見は、現代の国際政治にも重要な示唆を与えます。制裁政策を設計する際には、対象となる国や地域の国内政治への影響を慎重に考える必要があります。経済制裁は一部のエリートを弱体化させる一方で、独立したエリートとの格差を広げ、結果として権威主義体制に有利な政治構造を生み出す可能性があります。
(4)課題、今後の展望
今後は他国の事例や現代データを用いて、経済的弱体化と政治行動の関係をより広く検証していく必要があります。また、長期的な視野によって、危機下におけるこうした民主主義の後退がその後にどのような影響を及ぼしたかも研究する予定です。
(5)研究者のコメント
本研究では、民主主義の崩壊が必ずしも強制や思想によって起こるのではなく、経済的な弱さから生じる可能性を示しました。現代においても、経済政策が政治体制に与える影響は非常に重要です。本研究が、より慎重で効果的な政策設計につながることを期待しています。
(6)用語解説
※1 経済制裁
他国に対して貿易制限や資産凍結などを行い、政策変更を迫る手段。
※2 軍需調達
政府や軍が企業から物資やサービスを購入すること。
※3 権威主義
政府や軍が企業から物資やサービスを購入すること。
※4 民主主義の後退
選挙や議会の機能が弱まり、政治の自由や監視が失われていく過程。
(7)論文情報
雑誌名:American Political Science Review
論文名:The Cornered Mouse: Sanctioned Elites and Authoritarian Realignment in the Japanese Legislature, 1936–1942.
執筆者名(所属機関名):Makoto Fukumoto (Waseda University)
掲載日:2026年3月3日(日本時間)
DOI:10.1017/S0003055426101440.
(8)研究助成(外部資金による助成を受けた研究実施の場合)
研究費名:日本学術振興会 科学研究費助成事業 若手研究 2025年4月 - 2027年3月 Kakenhi # 25K16562
研究課題名:地域の衰退と民主主義:地理情報分析による戦前の地域経済と帝国議会選挙の定量的研究
研究代表者名(所属機関名):福元 真(早稲田大学)
研究費名:日本学術振興会 科学研究費助成事業 若手研究 2023年4月 - 2025年3月 Kakenhi # 23K1241
研究課題名:地理情報分析及びネットワーク分析を用いた戦前帝国議会議員・選挙の計量的研究
研究代表者名(所属機関名):福元 真(早稲田大学)







