甲南大学フロンティアサイエンス学部の長濱宏治教授と上田菜摘美さん(当時:大学院生)らの研究グループは、北海道大学大学院医学研究院の岩崎倫政教授らの研究グループとの共同研究により、生体で発生する力学刺激を活用して移植細胞を活性化し、組織再生能力を最大限に引き出すことで、大規模な組織損傷をほぼ完全に再生可能な革新的再生医療技術を開発することに成功しました。また、本技術は従来技術よりも著しく高い組織再生効率を示すことを見出しました。本技術は安全であり、今後、国内外で再生医療の応用研究に提供され、再生医療の進展や普及に大きく貢献すると期待されます。なお、本研究成果は、英国科学誌『Nature Communications』(オンライン)に2025年10月15日に掲載されました。


■研究成果のポイント
・ 生体の力学刺激を活用して移植細胞の再生応答を効率的に引き出す世界初の再生医療技術
・ 本技術の拡張性は高く、間葉系間質細胞などの幹細胞を含む多種多様な細胞に適応可能
・ 本技術は安全であり、かつ高い組織再生効果を示すことから、再生医療の進展および普及に大きく貢献


1.背景
 再生医療とは、構造や機能が大きく欠損した組織や臓器に対して細胞を移植して機能させることで再生させ、機能を回復させることを目指す医療技術です。近年のiPS細胞研究の進展により再生医療の実現は現実味を帯びてきました。しかし、再生医療を実現・普及するためには、まだ解決すべき課題が残されています。
 その一つは、細胞移植技術が未熟であることです。生体組織内で細胞は細胞外マトリクス(※1)により3次元的に取り囲まれており、細胞外マトリクスからさまざまな刺激を受容することで、細胞機能は適切に調節されます。したがって、単に細胞を液体に懸濁して移植するのではなく、移植細胞を3次元的に取り囲んで細胞機能を高度に制御可能な足場材料(※2)を用いることが重要だと理解されています。しかしながら、従来の足場材料にはさまざまな問題があり、移植細胞の再生能力を最大限に引き出すことはできていないため、革新的な足場材料の開発が望まれていました。一方、近年目覚ましい進歩を示すメカノバイオロジー(※3)研究により、力学刺激はパワフルな細胞活性化因子であり、細胞膜タンパク質のインテグリン(※4)は普遍的で最重要なメカノセンサー(力学刺激の細胞入力部位)だと分かっています。
 このような学術的背景にもとづき、当研究グループは、生体の力学刺激(例:骨格筋の収縮⇔弛緩による引張力)を移植細胞のインテグリンに対して高効率で伝えて活性化し、移植細胞の再生能力を効果的に引き出すことが可能な足場材料を開発すれば、画期的な再生医療技術が創出できると着想し、研究を進めてきました。

2.研究成果
 当研究グループは新たな学術的要素として「生体直交化学」(※5)を導入し、移植細胞のインテグリンとゲル状足場材料間をクリックケミストリー(※6)により共有結合で直接連結する方法を考案しました(図1)。以降、本手法により得られる細胞-ゲル状足場材料複合体を『細胞間力学伝導ゲル』と表記します。本研究では、日本の超高齢化社会で大きな問題になっているサルコペニア(加齢に伴う筋肉量・筋力の低下)などに起因し、再生医療の必要性が高い骨格筋組織をモデルに選びました。具体的には、糖代謝工学の手法により、骨格筋再生を担う組織幹細胞である筋衛星細胞のインテグリンの糖鎖にアジド基を導入しました。また、剛直な性質をもつ生体適合性高分子のアルギン酸(※7)に対して、アジド基と選択的に共有結合を形成するシクロオクチン基(※8)を化学修飾しました。生体に移植した筋衛星細胞のインテグリンに導入したアジド基とアルギン酸のシクロオクチン基間の生体直交反応により、インテグリンとアルギン酸ゲルが共有結合により直接連結されます。本手法では、移植細胞のインテグリンと足場材料が安定な共有結合を介して直接連結しており、力学刺激の強さ、細胞周期や細胞外微小環境の変化に依存することなく、インテグリン-足場材料間の結合が常に維持されるため、力学刺激の入力は常にONとなります(図2)。


 実際に、骨格筋で発生する力学刺激を模倣可能な装置を用いて細胞間力学伝導ゲルをin vitroで培養した実験の結果より、負荷された力学刺激を剛直なアルギン酸が受容し、そのまま力学刺激はアルギン酸と連結するインテグリンに伝わって細胞内に入力され、次いで細胞骨格アクチン線維を通じて細胞質を伝わり、最終的に核に伝わって核(特に、核膜孔)の形態を大きく変形させることが分かりました。その結果、筋衛星細胞内では、力学刺激を受けて10分以内に転写共役因子YAP(※9)の核内移行が促進され、筋衛星細胞を筋細胞に分化させる遺伝子の発現が促進されました。また、ある筋衛星細胞に伝わった力学刺激の一部は再び細胞外に出力され、細胞間を連結するアルギン酸を通じて他の筋衛星細胞に伝わり、力学刺激が多数の細胞間で共有されることも分かりました。


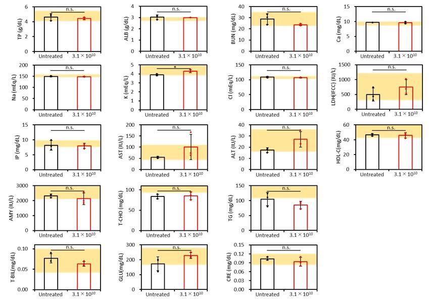
 そこで、大規模骨格筋損傷モデルマウスに対して、筋衛星細胞で作製した細胞間力学伝導ゲルを投与すると、細胞間力学伝導ゲル投与マウスは従来の足場材料で筋衛星細胞を投与したマウスと比べて有意に優れた骨格筋再生効率を示しました(図3)。また、細胞間力学伝導ゲルにより再生した骨格筋組織の構造と機能は健康な骨格筋組織と同程度であることが示されました(図4)。つまり、細胞間力学伝導ゲルは、再生させることが非常に困難な大規模骨格筋損傷を完全に再生したと言えます。さらに重要なこととして、細胞間力学伝導ゲルを投与したマウスの血液検査結果は健康なマウスと同程度であり(図5)、これは細胞間力学伝導ゲルの安全性を示唆しています。
 つまり、細胞間力学伝導ゲルは、再生したい組織で発生する力学刺激を効率よく活用して移植細胞の再生応答を最大限に引き出す仕組みにより、従来の足場材料よりも飛躍的に高い組織再生効率を示す、エビデンスある画期的な再生医療技術です。


3.今後の期待
 本技術(細胞間力学伝導ゲル)の拡張性は高く、間葉系間質細胞などの幹細胞を含む再生医療に有用な多くの種類の細胞に適応可能であるため、骨格筋組織の他にも、さまざまな組織や臓器の再生医療に展開可能です。また、細胞間力学伝導ゲルは、移植細胞とアルギン酸間の生体直交反応の進行に伴い、徐々に液状からゲル状に変化する特性をもつため、低侵襲な注射や内視鏡により生体に投与可能な足場材料(インジェクタブルゲル)として利用できます。
 今後、本技術は国内外で再生医療の応用研究に提供され、再生医療の進展や普及に大きく貢献すると期待されます。さらに、上述のゲル化特性を利用すれば、細胞間力学伝導ゲルを3Dバイオプリンティングに展開できるため、再生医療研究のみならず、オルガノイド研究や創薬研究において有用な新技術の創出につながると期待されます。


4.論文情報
[学術誌名] Nature Communications
 DOI : 10.1038/s41467-025-64656-9
 掲載URL : https://doi.org/10.1038/s41467-025-64656-9
[論文タイトル]In vivo mechano-tissue engineering by hydrogels capable of transmitting intercellular mechanical stress
[著者] Natsumi Ueda¹, Hayato Okazaki¹, Akihiro Mikuma¹, Ayane Kunieda¹, Soma Kawashima¹, Takeru Torii¹, Keiko Kawauchi¹, Masatake Matsuoka², Tomohiro Onodera², Norimasa Iwasaki², Koji Nagahama¹*

¹ 甲南大学フロンティアサイエンス学部、² 北海道大学大学院医学研究院整形外科学教室
* 責任著者

5.用語説明
※1 細胞外マトリクス
 細胞外マトリクスは、タンパク質や多糖などの生体高分子で構成されており、細胞と細胞の間、あるいは組織の隙間を埋めるように存在する。細胞外マトリクスは、単に細胞の支持体として機能するだけでなく、細胞の増殖、分化、遊走、生存など、さまざまな細胞機能の制御に重要な役割を果たす。代表的な細胞外マトリクスとして、コラーゲン、ラミニン、プロテオグリカンなどがある。

※2 足場材料
 再生医療では、細胞をただ単に生体の再生したい組織に移植するだけでは細胞はうまく生着できず、組織再生が見込まれない場合が多い。そのため、細胞移植時には、細胞を担持し、細胞の接着、増殖、分化など組織再生に必要な細胞応答を制御するための材料が必要とされており、そのような材料を足場材料と呼ぶ。

※3 メカノバイオロジー
 細胞や組織に対する物理的な力や力学的な刺激が生体の機能や構造にどのように影響を与えるかを研究する学問分野。細胞や組織が受ける力や内部の張力などの力学的要因が、細胞の応答、発生、分化などにどのように関与しているかが主に調べられている。メカノバイオロジーは、生物学、物理学、工学などの学際的分野であり、近年、再生医療、バイオテクノロジー、創薬などの研究分野おいて重要性が高まっている。

※4 インテグリン
 細胞膜を貫通する膜タンパク質であり、細胞と細胞外マトリクスとを接着するとともに、メカノセンサーとして細胞外の力学刺激を細胞内の生化学的シグナルに変換する働きをもつ。特に、細胞の接着、増殖、遊走、分化などの細胞機能を制御するうえで重要な役割を担う。また、インテグリンは組織レベルの炎症や創傷治癒などにおいても重要な役割を担い、さまざまな疾患のメカニズムに深く関わっているため、インテグリンを標的としてさまざまな治療法の開発が行われている。

※5 生体直交化学
 2022年ノーベル化学賞の対象研究。相互に特異的かつ生物学的システムとは無関係の反応性基の固有対であるため、生体内や細胞内に存在する他の分子の影響を受けず、目的の反応だけを起こすことができる化学反応。

※6 クリックケミストリー
 高収率、高選択性・高速反応性の炭素-ヘテロ原子結合反応により新たな機能性分子を合成する手法であり、2001年にスクリプス研究所のSharplessによって提唱された概念。クリックという言葉は、あたかもシートベルトのバックルがカチッと音を立ててつながるように2つの分子が簡単につながることに由来する。一般に、クリックケミストリーの定義として以下のことが要求される。(1)目的の生成物を高収率で与える。(2)シンプルな構造を持つ分子同士を組み合わせる。(3)副生成物をほとんど生じない。(4)実験操作が簡便で、精製操作を必要としない。(5)水中でも反応が進行する。

※7 アルギン酸
 コンブやワカメ、ヒジキ、モズクなど褐藻類に含まれる多糖類の一種で、β-1,4-D-マンヌロン酸とα-1,4-L-グルクロン酸をモノマーとする共重合体。優れた生体適合性を有しており、ドラッグデリバリーシステムや再生医療をサポートする生体材料の素材として広く用いられている。

※8 シクロオクチン基
 八員環のアルキン。環状アルキンは歪んだ構造をとるため、触媒なしでアジド基とクリック反応し、環化付加する。シクロオクチン類は高い安定性を有していることから、生命科学研究などに応用されている。

※9 YAP
 Yes-associated protein。YAPは細胞内で重要な役割を果たす転写共役因子。YAPはHippoシグナル伝達経路の一部として働き、細胞の増殖や分化、幹細胞性の維持、アポトーシスを調節する。これらの役割により、YAPは組織の恒常性を維持する。

6. 研究助成
 本研究はJSPS科研費 (JP23K25215)、ならびに、国立研究開発法人科学技術振興機構 A-STEP産学共同(育成型)、ならびに国立研究開発法人科学技術振興機構 次世代研究者挑戦的研究プログラム(JPMJSP2117)の支援により実施されました。

▼本件に関する問い合わせ先
甲南学園広報部
住所:兵庫県神戸市東灘区岡本8-9-1
TEL:078-435-2314
FAX:078-435-2546
メール:kouhou@adm.konan-u.ac.jp


【リリース発信元】 大学プレスセンター https://www.u-presscenter.jp/