1.概要

 接着剤や塗料、さらにはスマートフォンや自動車部品に使われる高機能材料の多くは、高分子(反応性成分)とコロイド粒子(注1)から構成され、液体の状態から「硬化」と呼ばれる架橋反応を経て固体になります。このとき、材料の性能を左右する大きな要因が「コロイド粒子」の配置やかたまり具合(構造)です。これまで、硬化中にコロイドがどのように集まるのかははっきりわかっておらず、設計は経験に頼らざるを得ませんでした。

 東京都立大学の古田祐二朗(研究当時:博士課程、現在:東京大学)・栗田玲教授の研究グループは、数値シミュレーションを用いて、コロイドが集まる条件やその機構を調べました。その結果、コロイドの振る舞いを左右する「普遍的なルール」が見えてきました。鍵となるのは「硬化の進み具合」ではなく、高分子同士の「平均結合数(Z)(注2)」です。Zが2.1を超えると、材料に弾力が生まれはじめ、内部にむらができ、コロイドが引き合う現象が始まることがわかりました。

 この発見は、接着剤や塗料といった身近な製品だけでなく、将来的にはナノテクノロジーやエレクトロニクス分野にも応用される可能性があります。

 

■本研究成果は、9月3日付けでElsevierが発行する英文誌Journal of Molecular Liquidsに発表されました。本研究の一部は、学術振興会科学研究費補助金(基盤B No.20H01874)の支援を受けて行われました。

 

2.ポイント

1.   コロイドの集まり方は、硬化の進行度(反応率α)ではなく「平均結合数Z」で統一的に説明できることを発見した。

2.   Zが2.1を超えると、材料に弾力が生まれ、内部にむらができる。

3.   この「むら」がコロイド同士の実効的な引力を生み出し、集合が始まる。

4.   コロイドが集まるかどうかは「硬化の速さ」と「粒子の動きやすさ」の競争で決まる。

5.   接着剤や機能性コーティングの設計において、Zを指標にした予測が可能となる。

 

3.研究の背景

 私たちの生活の中で、接着剤や塗料はごく当たり前に使われています。これらは単に「くっつける」「色を塗る」だけではなく、耐久性や導電性、防錆性、さらには抗ウイルス性など、多様な機能を担う重要な材料です。近年は環境負荷を減らすため、乾燥による固化ではなく「硬化反応」によって液体から固体へ変化させる手法が広がっています。

 しかし、この硬化過程で「中に分散されたコロイドがどう配置されるのか」は、性能を決める重要なポイントでありながら、これまで経験的な知見に頼るしかありませんでした。科学的な「普遍ルール」がわかれば、より効率的に、より狙いどおりの材料をつくれるようになるはずです。

 

4.研究の詳細

 研究グループは、高分子の結合部位(官能基)の数を変えた分散媒体を使い、コロイドを含んだ系が硬化していく様子をシミュレーションしました。これにより、硬化率α(注3)や材料内部の構造変化を詳しく追跡しました。

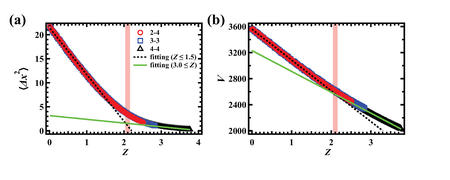
 2種類の溶媒DMA、DMBを用意し、この2種類の溶媒分子が接触した時に確率的に結合するモデルを用いました。それぞれの溶媒分子の官能基(注4)の数を4−4、3−3、2−4と変えた時、どのように硬化し、どのようにコロイド粒子が配置されるのか(図1)、100サンプル計算して、調べました。

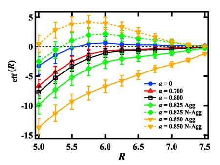
 図2は2−4系の各硬化率αにおけるコロイド間の相互作用を計算したものを示しています。α= 0.800までサンプル差はないのですが、α= 0.825を超えるとコロイドが凝集する時(Agg)としない時(N-Agg)で大きく相互作用が異なり、凝集する時は長距離の引力相互作用が生じていることがわかりました。

 凝集する、しないが分岐する硬化率は、2−4、3−3、4−4で異なります。しかし、驚くべきことに、硬化率そのものは条件によって異なっても、「平均結合数Z」という指標を用いると、どの条件でも同じような変化のパターンが現れることがわかりました(図3)。特にZが約2.1で凝集の有無が分岐します。このZ = 2.1では、内部に硬いクラスターが生まれ、材料に弾力が出現します(図4)。それと同時に密度の不均一が発生し、それがコロイド同士の引力となってはたらくことがわかりました。

 さらに、結合確率を変えた研究によって、コロイドが凝集するかどうかは「硬化にかかる時間」と「コロイドが動いて集まる時間」の競争で決まることもわかりました。硬化がゆっくりならコロイドは集まりやすく、硬化が速すぎると凍結されて動けなくなります。これは接着剤や塗料の調整にも直結する知見です。

 

【画像:https://kyodonewsprwire.jp/img/202509054652-O1-9xPj7vL6
図1 シミュレーションイメージ図と溶媒分子の官能基数条件。

 

【画像:https://kyodonewsprwire.jp/img/202509054652-O3-1LwSClAk

 

【画像:https://kyodonewsprwire.jp/img/202509054652-O4-397f77Ac

 

【画像:https://kyodonewsprwire.jp/img/202509054652-O2-DKE239J3

 

5.研究の意義と波及効果

 今回の成果は、平均結合数「Z」という単純で普遍的なパラメータでコロイドの振る舞いを説明できることを示しました。これにより、これまで「やってみなければわからない」とされてきた硬化するコロイド分散系の設計が、理論的な予測の下で可能になります。

 例えば、電子機器の導電性フィルムや耐久性の高い接着剤、環境にやさしい塗料など、幅広い応用材料において、より効率的で持続可能な開発につながることが期待されます。また、この発見は「コロイド」という小さな粒子の世界にとどまらず、生体材料や食品工学、さらにはナノコンポジットの設計にも波及効果を持つ可能性があります。

 

【用語解説】

専門用語の解説

(注1)   コロイド:ナノサイズ、もしくは、マイクロサイズの粒子のこと。

(注2)   平均結合数:一つの分子が他の分子と結合した平均の数。

(注3)   硬化率:溶媒分子が結合したときの結合数を全結合可能数で割ったもの。

(注4)   官能基:一つの分子内で結合できる場所。

 

【発表論文】

“Colloidal aggregation dynamics in curing systems unified by the number of cluster bonds” Yujiro Furuta and Rei Kurita, Journal of Molecular Liquids(2025)

https://doi.org/10.1016/j.molliq.2025.128342 

DOI:10.1016/j.molliq.2025.128342